Springe zum Hauptinhalt Springe zum Hauptmenü Springe zur SiteSearch
Optimale Dämmpakete finden

Effizienz ernten bei Dämmung

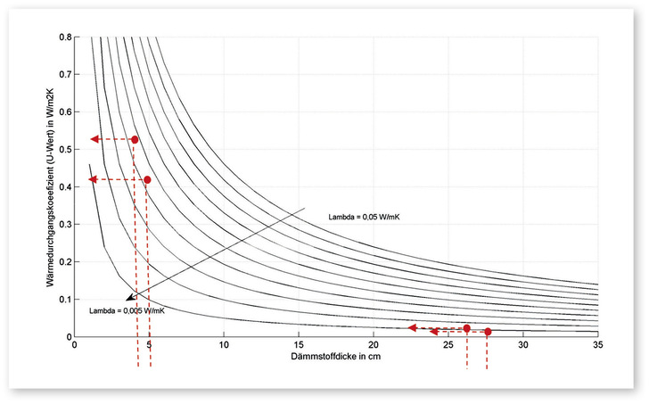
Zur Ermittlung eines Grenznutzens von Dämmungen sollte der Fokus auf die äußerste Schicht, den äußersten Zentimeter gelegt werden, anstatt die Energiebilanz über das komplette Dämmpaket zu erstellen. Mit der vorgestellten Methodik lassen sich aus gesamtenergetischer Sicht sinnvolle minimale Wärmedurchgangskoeffizienten und die daraus resultierenden aus gesamtenergetischer Sicht maximal sinnvollen Dämmstoffstärken bestimmen. Ferner werden die Ergebnisse mit den diesbezüglichen Anforderungen des Gebäudeenergiegesetzes (GEG), der KfW und der Passivhausregeln verglichen, sodass gesamtenergetisch sinnvolle und weniger sinnvolle Konstellationen deutlich werden. Verhältnis von energetischem Nutzen und Dämmaufwand klären Die zur Herstellung, zum Transport und zur Montage sowie gegebenenfalls zur Demontage und Entsorgung benötigten Energiemengen von Baustoffen rücken zunehmend in den Mittelpunkt des Interesses, da sie angesichts abnehmender Heiz­energiemengen immer bedeutsamer für die Gesamtenergiebilanz bei gut gedämmten Gebäuden werden. Besonders bei den Dämmstoffen liegt die Frage nach dem energetischen (Einspar-)Nutzen und dem energetischen (Herstellungs-)Aufwand auf der Hand. Gilt für energiebewegte Menschen seit einiger Zeit die Regel des Mehr-ist-besser, so stellt sich aus gesamt­energetischer Sicht doch zunehmend die Frage des Grenznutzens immer weiter wachsender Dämmstärken. Völlig ungeachtet ökonomischer und ästhetischer Argumente, die völlig zu Recht ebenso als die Dämmstärke limitierenden Faktoren mit zu berücksichtigen sind. In diesem Artikel soll es daher auch um den Begriff des Erntefaktors E von Dämmungen gehen. Er beschreibt das Verhältnis von durch Dämmung eingesparter Primär ...

Jetzt weiterlesen und profitieren.

+ GEB E-Paper-Ausgabe – jeden Monat neu
+ Kostenfreien Zugang zu unserem Archiv
+ Fokus GEB: Sonderhefte (PDF)
+ Weiterbildungsdatenbank mit Rabatten
+ Webinare und Veranstaltungen mit Rabatten
uvm.

Premium Mitgliedschaft

2 Monate kostenlos testen

Tags