Springe zum Hauptinhalt Springe zum Hauptmenü Springe zur SiteSearch

Luftleitung ins Badezimmer

Oft wird angenommen, dass DIN 18017-3 [1] bauaufsichtlich eingeführt und deshalb unbedingt einzuhalten ist. Solange die jeweilige Liste der Technischen Baubestimmungen der Länder (LTB) sie nicht aufführt, ist sie jedoch nicht bauaufsichtlich eingeführt. Für Berlin und Brandenburg ist das beispielsweise der Fall. Auch in der Muster-Liste der Technischen Baubestimmungen vom DIBt (  www.bit.ly/geb1550  ) findet sich keine Erwähnung dieser Norm. Stattdessen wird in der Muster-LTB auf die bauaufsichtliche Richtlinie über die Lüftung fensterloser Küchen, Bäder und Toilettenräume in Wohnungen [2] verwiesen (s. Infokasten „Bauaufsichtliche Richtlinie“).

Gleichzeitigkeit der Abluftvolumenströme

Der gleichzeitige Betrieb mehrerer Abluftventilatoren sollte in DIN 18017-3 Beachtung finden. Bei bedarfsgeführten Entlüftungsanlagen beträgt der planmäßige Mindest-Abluftvolumenstrom nach Abschnitt 4.1.1 der Norm während der Nutzung 60 m 3 /h für Bäder. Bei Toilettenräumen darf er auf 30 m 3 /h reduziert werden. Die Werte dürfen aus Gründen der Energieeinsparung (s. FAQ in [3]) auf nicht mehr als das Doppelte erhöht werden.

Da diese Volumenströme nur zeitweise benötigt werden, erhebt sich die Frage, wie die Außenluftdurchlässe (ALD) und Überströmluftdurchlässe (ÜLD) für Wohnungen mit mehreren Ablufträumen auszulegen sind. Nach Gleichung (1) der Norm geht der planmäßige Mindest-Abluftvolumenstrom je Nutzungseinheit (NE) in die Anzahl der ALD bzw. nach Gleichung (2) in den Überströmluftvolumenstrom der Wohnung ein.

Statt der bisher üblichen Praxis, die Summe der Abluftvolumenströme aus den einzelnen Bädern bzw. Toilettenräumen einzusetzen, wäre ein Gleichzeitigkeitsfaktor sinnvoll, insbesondere wenn als ALD Fensterfalzlüfter Verwendung finden sollen. Deren Leistung liegt in einer Größenordnung von 4 bis 11 m 3 /h je Fenster bei 8 Pa Differenzdruck – mit abnehmenden Schalldämmwerten bei höheren Volumenströmen.

Sollten dennoch alle Ablufträume gleichzeitig benutzt werden, würde eine verminderte ALD-Anzahl nur bewirken, dass die Entlüftung etwas länger dauert.

Bei der stationären Berechnung der Lüftungsheizlast zur Auslegung der Heizanlage sollte man für den kurzzeitigen Betrieb einen Tagesmittelwert des Volumenstroms ansetzen, z. B.: 8-malige Benutzung × (60 m 3 /60 min × 10 min/Benutzung + 15 m 3 Nachlauf/Benutzung)/24 h = 8 m 3 /h. Die Berechnung ergibt jedoch so geringe Werte, dass man sie auch vernachlässigen kann, wenn sie auf die Aufenthaltsräume verteilt werden.

Für den kurzzeitigen Betrieb ist davon auszugehen, dass die Raumlufttemperatur etwas sinkt. Die Raumtemperaturregelung wird zwar die Heizung hochfahren, jedoch kann nur der konvektive Anteil diese Last sofort auffangen. Nur eine Luftheizung könnte für einen schnellen Ausgleich sorgen.

Die in vielen Programmen zur Heizlastberechnung angebotenen Auswahlmöglichkeiten für die Berücksichtigung mechanischer Lüftung sollten für den kurzzeitigen Betrieb abgewählt werden.

Problembereich ALD

Die Nachströmung über ALD ist nicht problemlos. [2, Abschnitt 2.1.1 und 2.2, jeweils letzter Satz] begnügt sich mit der Empfehlung, dass ALD absperrbar ausgeführt werden sollen. Unter Berücksichtigung aller Anforderungen ergibt sich jedoch die Pflicht, dass ALD für den Katastrophenfall und zur Unterbindung unangenehmer Gerüche für Luft von außen absperrbar sind [4].

Fensterfalzlüfter sind nicht absperrbar

Eine Klappe sorgt bei Fensterfalzlüftern nur für eine obere Begrenzung der Zuströmung bei zu hoher Windgeschwindigkeit. Ob die ALD regelbar sein dürfen, wird in DIN 18017-3 nicht behandelt. Falls sie regelbar ausgeführt werden, z. B. nach der Feuchte im jeweiligen Raum oder der Außenlufttemperatur, stellt sich wieder die Frage nach der Austauschzeit der Luft zur Abfuhr der Gerüche aus den Ablufträumen. Die steile Lüfterkennlinie wirkt jedoch dem Schließen der ALD entgegen, sodass der Volumenstrom in etwa erhalten bleibt, während der Geräuschpegel steigen kann.

Zugbelästigungen

Raumluftströmungssimulationen der TU Dresden haben ergeben, dass bei Fußbodenheizungen, aber auch bei Heizkörpern unter dem Fenster mit Zugbelästigungen zu rechnen ist, da der konvektive Anteil der Heizleistung nicht ausreicht, um den Kaltluftabfall aufzufangen. Aus der Praxis sind Beschwerden über Zugluft bekannt, die mietrechtliche Konsequenzen hatten (  www.bit.ly/geb1551  ).

Dass eine solche Lüftungslast durch die Auslegung nicht kompensiert wird, liegt auch an der Heizlastnorm DIN EN 12 831. In ihrer Berechnung erfolgt keine Anpassung der erforderlichen Heizleistung an die Lastart (hier rein konvektiv). Während bei der Kühllastberechnung nach VDI 2078 zwischen konvektiver und Strahlungslast unterschieden wird und der Konvektivanteil der Anlagenleistung in die Berechnung eingeht [5], ist die Heizlast nach DIN EN 12 831 immer noch eine reine Gebäudeeigenschaft. Der Strahlungsanteil der Heizleistung kann gegen den Kaltluftabfall nur dann wirken, wenn die Heizfläche das Bauteil unterhalb des ALD „sieht“ – also günstige Einstrahlverhältnisse vorliegen und es zu ausreichender Erwärmung kommt, z. B. durch die Anordnung des ALD hinter einem Heizkörper.

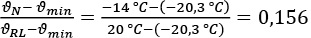
Die Heizlastnorm gibt ein stationäres Berechnungsverfahren an, bei dem die Außentemperatur für die Auslegung über den Zeitraum von zwei Tagen gemittelt wird, obwohl der Mittelungszeitraum der Wärmespeicherfähigkeit anzupassen ist [6]. Dadurch gehen die Informationen über Temperaturen, welche zeitweise unterhalb der Normaußentemperatur liegen, verloren. Im Beispiel in Abb. 2 liegt die gemessene Außenlufttemperatur 23 Stunden eines Tages unterhalb der Normaußentemperatur von – 14 °C, zeitweise beträgt sie – 20,3 °C. Bei Anlagen ohne WRG wird jedoch die Lüftungsheizlast in der Realität ungedämpft in voller Höhe wirksam, was durch die höhere Normaußentemperatur nicht berücksichtigt wird.

Man kann daher davon ausgehen, dass die konvektive Heizleistung für die Lüftungslast unterdimensioniert ist und daher Zugerscheinungen vor allem beim dauernden Lüftungsbetrieb zumindest zeitweise sehr wahrscheinlich sind. Besonders betroffen sind Nutzungseinheiten mit wenig Aufenthaltsräumen, z. B. Einzimmerwohnungen, Studentenwohnheime und Hotels, in denen die gesamte Außenluftnachströmung nur in einem Raum eingebracht wird. Das gilt insbesondere auch für die Auslegung nach Nennlüftung gemäß DIN 1946-6 [7].

Beispiel: Eine Wohnung in einem neu errichteten Studentenwohnheim hat ein Zimmer mit 19,05 m2 und ein fensterloses Bad mit 3,57 m2. Die lichte Raumhöhe beträgt 2,60 m. Daraus ergibt sich das Raumvolumen des Zimmers zu 49,53 m 3 . Die Lüftungsanlage nach DIN 18 017-3 wird dauerhaft im Zimmer mit 40 m 3 /h Nachströmung betrieben. Für den in Abb. 2 dargestellten Verlauf der Außentemperatur ist die Heizung bei 20 °C Raumlufttemperatur und einem Luftwechsel von 40 m 3 /h / 49,53 m 3 = 0,81 h-1

um also rund 16 % unterdimensioniert.

Übertragung von Gerüchen

Ein weiterer Problempunkt ist die Übertragung von Gerüchen aus den unteren Wohnungen über die ALD, welche besonders bei Ansaugung mit dauerhafter Lüftung nicht hinnehmbar ist. Hierzu gibt es ein aktuelles Urteil (LG Berlin, Az. 65 S 362/16) über die Beeinträchtigung durch Nikotingeruch aus einer unteren Wohnung. Danach darf ein Mieter wegen der Geruchsbelästigung für darüber liegende Schlafzimmer nicht während der Nachtzeit aus dem Zimmerfenster rauchen, ansonsten ist eine Mietminderung beim oberen Mieter von 3 % gerechtfertigt.

Geräuschbelästigung

Für den Einbau der ALD ist nach der EU-Bauproduktenverordnung (EU-BauPVO [8]) zu beachten, dass der Hersteller der Fenster beim Einbau von Fensterfalzlüftern bzw. von ALD in die Außenbauteile eine Leistungserklärung abgeben muss, welche u. a. die Schalldämmwerte mit ALD angeben. Wird eine bestimmte Schallschutzklasse vereinbart, müssen zur Berechnung des Schallschutzausweises die veränderten Schalldämmwerte durch den ALD bekannt sein. Auch bei der Berechnung des Schalldämm-Maßes sind gemäß DIN 4109-1 [9] die Lüftungsöffnungen zu berücksichtigen. In den zulässigen Wert gehen der Außenlärmpegel und die Raumart ein.

Problembereich ÜLD

Der Einbau von ÜLD ist hinsichtlich Schall-, Geruchs-, Staub- und Lichtübertragung von Raum zu Raum ebenfalls problematisch. Hier gelten die gleichen Anforderungen der EU-BauPVO wie oben beschrieben.

Schalldämmwerte

Nach FprEN 14 351-2 [10] können die Schalldämmwerte im Referenzverfahren gemessen werden oder es erfolgt im Alternativverfahren eine Zuordnung nach Merkmalen, z. B. nach der Art der Dichtung. Für eine Tür ohne Bodendichtung mit einem Höchstabstand vom Boden von 10 mm hätte die Tür nach Tabelle B.2 [10, Anhang B.2] eine Schalldämmung von 15 dB. Für bessere Schalldämmwerte wäre eine Bodendichtung notwendig, mit der ein Türunterschnitt nicht mehr möglich ist.

Außerdem könnte unabhängig von der EU-BauPVO eine bestimmte Schallschutzklasse für den eigenen Wohnbereich vereinbart werden, z. B. nach VDI 4100 [11] oder nach dem DEGA-Memorandum 104 [12]. Für das Erstellen eines Schallschutzausweises werden auch die Schallschutzwerte der Innentüren benötigt, welche mit ÜLD ermittelt werden müssen. Nach der DEGA-Schallschutzklasse EW1 (Mindestanforderung) wären 15 dB für Zimmertüren schützenswerter Räume (Schlaf- oder Kinderzimmer) nicht mehr ausreichend. Bei geschlossenem Grundriss wären mindestens 17 dB und bei offenem Grundriss mindestens 22 dB notwendig.

Die FprEN 14351-2 ist als Schluss-Entwurf noch nicht harmonisiert, also auch noch nicht in die Liste der technischen Baubestimmungen eingetragen. Es wird aber davon ausgegangen, dass die Eintragung erfolgt, sobald der Normungsprozess beim CEN vollständig durchlaufen ist. Sobald die harmonisierte Norm (hEN) im EU-Amtsblatt erscheint, muss sie eingehalten werden (Übergangsfristen sind geregelt). Vorher ist sie (nur) Teil des technischen Regelwerks, welches herangezogen werden kann und sollte, wenn es keine gleichwertigen oder besseren Vorgaben und Standards gibt.

Der Schallschutz im eigenen Wohn- und Arbeitsbereich ist in DIN 4109-1 zwar ausgenommen, jedoch gilt dies nicht für alle Geräusche: Für den nutzerunabhängigen Betrieb raumlufttechnischer Anlagen im eigenen Wohnbereich gibt die Norm in Tabelle 10 maximal zulässige Schalldruckpegel an. ÜLD kann man zu den Anlagen der Raumlufttechnik zählen, da sie Strömungsgeräusche verursachen, vor allem bei großen Volumenströmen durch kleine Flächenquerschnitte. Um den zulässigen Wert zu überprüfen, muss der Schalldruckpegel des ÜLD bekannt sein.

Lichtübertragung

Bei Innentüren kommt hinzu, dass zur Begrenzung der Lichtübertragung der untere Luftspalt nach DIN 18101 [13] unter Berücksichtigung der Bauelementtoleranzen auf ca. 10 mm begrenzt ist. Beim üblichen 88,5 cm breiten Wandöffnungsmaß entspräche das einem freien Querschnitt für die Tür von ca. 80 cm2, der durch den Türunterschnitt nicht überschritten werden darf. Nach Gl. (33) in DIN 1946-6 wären damit bei Türen mit Dichtung seitlich und oben maximal 32 m 3 /h Überströmung möglich. Die Mindestfläche von 150 cm 2 in [1, Abschn. 4.2.3] dürfte daher für Türunterschnitte im Wohnungsbau kaum zu erfüllen sein.

Demzufolge müssten in vielen Fällen ÜLD mit Schall- und Lichtschutz eingebaut werden, die aber die Baukosten verteuern. Ist ein Türunterschnitt ausreichend, ist darauf zu achten, dass zur Vermeidung des Aufquellens die Schnittflächen versiegelt werden, was in der Praxis häufig unterlassen wird. Außerdem darf ein Teppich nicht den unteren Luftspalt verkleinern. Darauf müsste der Vermieter hinweisen.

Neues Konzept: Zuluftleitung für fensterlose Ablufträume

Die bisherigen Ausführungen zeigen, dass sich die lüftungstechnischen Anforderungen nach [2, Abschn. 2] (keine Zugbelästigungen und keine Übertragung von Gerüchen in andere Räume) mit dem ALD/ÜLD-System nicht immer erfüllen lassen. DIN 18 017-3 schreibt jedoch als einzige Art der Nachströmöffnung dieses System vor, obwohl nach [2, Abschn. 2.1.1] die Zuluft auch über eine zentrale Stelle in der Wohnung den fensterlosen Räumen zugeführt werden kann.

Ein Ausweg aus dem ALD/ÜLD-Dilemma könnte ein mechanisches Abluftsystem mit eigener Zuluftleitung innerhalb der Wohnung von der Außenwand zum fensterlosen Abluftraum sein, wie es nach [2, Abschn. 2.1.1] für fensterlose Küchen erforderlich ist. Kalte Außenluft strömt auch in ein Bad mit Fenster, wenn zum Lüften das Fenster geöffnet wird.

Üblicherweise wird die Lüftung nach DIN 18017-3 auch genutzt, um gemäß DIN 1946-6 [7, Abschn. 4.2.1] die notwendige Lüftung zum Feuchteschutz zu realisieren. DIN 1946-6 geht davon aus, dass die gesamte Wohnung dauerhaft gelüftet werden muss. Es gibt aber auch Wohnungen, in denen nur einzelne Räume versorgt werden oder keine lüftungstechnische Maßnahme notwendig ist:

  • Die Infiltration könnte ausreichend sein für die Lüftung zum Feuchteschutz.
  • Einige Bauherren wollen nur die Schlaf- und Kinderzimmer zur Straße aus Schallschutzgründen mechanisch lüften (siehe auch BER-Urteil OVG 6 A 31.14).
  • Demnächst wird ein Lüftungskonzept mit manueller Fensterlüftung vorgestellt, welches raumweise aufgrund der Feuchtelast angesetzt wird. Für einige Räume könnte die manuelle, zumutbare Fensterlüftung ausreichend sein.
  • Die Räume werden einzeln mit einem dezentralen Lüftungsgerät oder einer Zu-/Abluftanlage ohne Überströmung gelüftet.

Wenn also die Lüftung zum Feuchteschutz in den Aufenthaltsräumen auf andere Weise gesichert ist, kann die Zuluftleitung zum Einsatz kommen. Dabei ergeben sich folgende Vorteile:

  • Die direkte Zufuhr hat den energetischen Vorteil, dass die Heizung in den durchströmten Räumen die Außenluft nicht erwärmen muss, sofern ein Mindestluftwechsel gerade nicht benötigt wird. Signifikant ist dieser Vorteil jedoch nur bei dauerhafter Lüftung, z. B. bei Zentralentlüftungsanlagen. Auch die Heizung im Bad muss die zugeführte Außenluft nicht erwärmen, da die 60 m 3 /h nur kurzzeitig strömen. Für einen längeren Aufenthalt im Bad empfiehlt sich jedoch beim Dimensionieren der Heizung ein Auslegungszuschlag, der dem oben genannten Tagesmittel entspricht, und eine Heizfläche mit hohem Konvektivanteil.
  • Ein Heizregister zur geringen Vorwärmung kann optional eingebaut werden, beispielsweise zur Verminderung der Kondensationsgefahr an der Zuluftleitung. Damit wäre auch eine Erwärmung mittels erneuerbarer Energien möglich, beispielsweise bei einem elektrischen Heizgerät mit Strom aus einer Photovoltaikanlage. Zu beachten ist, dass ein Elektroheizgerät einen Mindestvolumenstrom benötigt, um ein Durchbrennen der Elektrodrähte zu verhindern, dazu ist in der Regel ein Luftstromwächter vorzusehen.
  • Mit einer Zuluftleitung werden Zugbelästigungen durch ALD in den Aufenthaltsräumen vermieden. Man könnte zudem flexibler entscheiden, wo der ALD für die Zuluftleitung eingebaut werden soll. Damit ließe sich z. B. für einen geringeren Schadstoffeintrag die Ansaugung auf der Seite der Hauptverkehrsstraße umgehen.
  • Das Problem mit der Gleichzeitigkeit erledigt sich. Es könnte nur noch bei der Auslegung eines Zuluftleitungsnetzes von Bedeutung sein.
  • Am Außenlufteintritt in die Zuluftleitung kann ein Luftfilter eingesetzt werden, um hauptsächlich Zuluftleitung und Ventilator zu schützen. Die Ventilatorleistung ist entsprechend anzupassen.
  • Die Problematik der erhöhten Schall- und Lichtübertragung durch die ÜLD (z. B. im Türunterschnitt) entfällt, die Geruchs- und Staubübertragung in andere Räume ebenfalls.
  • Weil kein Unterdruck in der Wohnung erzeugt wird, ist die Infiltration um 50 bis 86 % geringer und muss für die Planung der Entlüftungsanlage nicht mehr berechnet werden. Beim ALD/ÜLD-System ist die Infiltration auch bei abgeschalteten Ventilatoren erhöht. Aufgrund dieser Luftdurchlässe wird eine freie Lüftung wirksam, die zu unnötigen Lüftungswärmeverlusten führt.
  • Auch in Wohnungen mit raumluftabhängigen Feuerstätten entstehen bei dieser Lösung keine Probleme mit dem maximalen Differenzdruck.
  • Für die Feuchteregelung ist nur ein Außenfühler notwendig, mit dem das Feuchtepotenzial errechnet werden kann. Dadurch kann die Zufuhr von zu feuchter Außenluft unterbunden werden, s. [4].
  • Bei dauerhaftem Luftvolumenstrom in den Aufenthaltsräumen kann in Zeiten geringer Feuchteproduktion die relative Raumluftfeuchte im Winter auf unter 40 % sinken, was die Infektionsgefahr durch Viren begünstigt. Bei einer Zuluftleitung ist dieses Risiko nur im Abluftraum gegeben, zudem wird es durch die unten genannte Regelungsart minimiert.

Anforderungen an die Zuluftleitung wären, dass sie gedämmt sein sollte, um Kondensation auf der Außenseite zu vermeiden, und dass der Zulufteintritt abgesperrt werden kann. Dimensionierungshinweise für den Leitungsquerschnitt und die Wärmedämmung sollten vorliegen. Die Zuluftleitung kann mit einer höheren Luftgeschwindigkeit als die ÜLD ausgelegt werden, da Strömungsgeräusche durch die Leitung selbst gedämpft werden. Sind mehrere Ablufträume mit eigener Zuluftleitung vorhanden, sollten die Innentüren der Ablufträume möglichst dicht ausgeführt werden, ggf. mit einer Bodendichtung. Ansonsten könnten beim Betrieb eines Ventilators in einem Abluftraum noch nicht abgeführte Gerüche und Feuchte aus anderen Ablufträumen angesaugt werden, da über deren Zuluftleitung eine Nachströmung vorhanden ist. Werden für mehrere Ablufträume die Zuluftleitungen zu einem Leitungsnetz verbunden, muss für jeden Abluftraum eine Rückschlagklappe vorgesehen werden.

Anforderungen an die Regelung wären beispielsweise, dass die Entlüftung erst nach der Nutzung im vollen Umfang aktiviert wird, was dem Fensterlüftungsbetrieb im Bad mit Fenster entsprechen würde. Zugbelästigungen mit kalter Außenluft während der Nutzung werden dadurch vermieden. Ein VOC-Sensor im Abluftraum sowie Feuchte- und Temperatursensoren im Abluftraum und in der Zuluftleitung könnten die notwendige Laufzeit des Ventilators bestimmen, wobei ein reduzierter Anlauf für die Zeit während der Nutzung in Abhängigkeit der Außenlufttemperatur sinnvoll wäre. Ein verzögerter Lüftungsbeginn könnte verhindern, dass nach jedem Händewaschen der Ventilator anspringt.

Abluftleitung im eigenen Wohnbereich

Denkbar ist auch, die Abluftleitung innerhalb der Wohnung zu einer Außenwand zu führen. Dadurch wären weder Brandschutzabschottungen erforderlich noch ein (geringer) dauerhafter Luftvolumenstrom für eine gerichtete Strömung in Zeiten geringen Luftbedarfs. Für das TRY Potsdam in der Heizzeit von 1. Oktober bis 30. April wären bei 20 °C Raumlufttemperatur und 15 m 3 /h dauerhaftem Mindest-Abluftvolumenstrom zum Aufheizen der Außenluft ca. 400 kWh je Abluftraum nötig. Bei derzeit 7 Ct/kWh für Gas beträgt die maximale Einsparung ohne Nutzung des Abluftraumes 28 Euro/a. Hinzu kommen die Kosten für den Stromverbrauch des Ventilators.

Eine Wärmerückgewinnung von der Abluft- zur Zuluftleitung wäre möglich, lohnt sich aber nur bei dauerhaftem Luftvolumenstrom. Anlässe könnten aber auch das regelmäßige Trocknen von Wäsche in den Ablufträumen oder der Wunsch nach höherem thermischem Komfort während der Nutzung sein. Bei einem platzsparenden Rohr-in-Rohr-System sollte beachtet werden, dass die Rohre absolut luftdicht sind und dass es zur Kondensation im Rohr kommen kann. Allerdings wird die Zulufttemperatur bei diesem System aufgrund der kleinen Wärmeübertragungsfläche vermutlich nur sehr wenig steigen. Vorstellbar sind aber auch andere rekuperative WRG-Systeme.

Hinweise und Vorschläge zur Regelung

In Abschnitt 4.1.1 der DIN 18017-3 werden Szenarien zur Regelung empfohlen. Auch hier sollte die Norm an den Stand der Technik angepasst werden. Werden Sensoren zur Messung der stofflichen Belastung in Verbindung mit einer Elektronik eingesetzt, ergeben sich neue Möglichkeiten des Lüftungsbetriebs. So könnte beispielsweise gegenüber der Norm die umgekehrte Betriebsweise (Inversbetrieb) aus Gründen der thermischen Behaglichkeit sinnvoller sein (s. oben). In der Norm werden 60 m 3 /h während der Nutzung mit einer etwas niedrigeren Temperatur der Aufenthaltsräume gegenüber der Badezimmertemperatur und 15 m 3 /h Nachlauf empfohlen. 15 m 3 /h während der Nutzung und 60 m 3 /h Nachlauf bis zur Sensor- oder Zeitausschaltung könnten Zugerscheinungen vermeiden. Bei verputzten Bädern, etwa mit Kalkpressspachtel, sollte zur Berücksichtigung einer verzögerten Desorption der Nachlauf verlängert werden.

Mit einem Feuchtesensor kann die Lüftung nicht nur in Zeiten geringen Luftbedarfs (nachts) auf 0 m 3 /h reduziert werden. Der Feuchteschutz wäre mit der sensorgesteuerten Regelung gewährleistet, da ein hoher Feuchteanfall, der z. B. durch Wäschetrocknen oder Desorption entsteht, erfasst wird. Voraussetzung hierfür ist, dass die Entlüftungsanlage nicht der Lüftung zum Feuchteschutz in der Nutzeinheit dient.

Der gleichzeitige Lüftungsbetrieb für mehrere Ablufträume könnte mittels Signalübertragung koordiniert werden. Dadurch wären Einsparungen bei den ALD und ÜLD möglich.

Fazit

Obwohl sowohl die bauaufsichtliche Richtlinie über die Lüftung fensterloser Küchen, Bäder und Toilettenräume in Wohnungen als auch DIN 18017-3 fordern, dass die Schall-, Geruchs-, und Staubübertragung von Raum zu Raum in der Wohnung zu vermeiden ist, werden in der Norm für die Nachströmung nur ALD und ÜLD favorisiert. Durch die Überströmung werden genau diese Anforderungen nicht eingehalten. Hinzu kommen ein Lichtübertrag, unnötige Lüftungswärmeverluste zu Zeiten ohne Lüftungsbedarf und ein möglicher Keim- und Virenübertrag.

Die Ausführungen zeigen, dass eine Überarbeitung mit einigen Klarstellungen in DIN 18 017-3 notwendig ist. Dabei sollten auch neue technische Möglichkeiten, z. B. bei der Regelung sowie Alternativen wie die Zuluftleitung zu Ablufträumen, berücksichtigt werden. Die Anforderungen an die Zuluftleitung sind hier nur angedeutet und näher zu spezifizieren. Das Gleiche gilt für die Abluftleitung im eigenen Wohnbereich.

Auch die Berechnung der Lüftungsheizlast bzw. Art und Anordnung der Heizflächen ist zu überdenken, um das Risiko dauerhafter Zugerscheinungen durch ALD in den Aufenthaltsräumen durch eine ausreichende Heizleistung zu reduzieren.

Der Autor bedankt sich für die zahlreichen Anregungen und Informationen aus der Praxis, der Normung, der öffentlichen Hand und von einem Hersteller.

Literatur

[1] DIN 18017-3 Lüftung von Bädern und Toilettenräumen ohne Außenfenster – Teil 3: Lüftung mit Ventilatoren. Berlin: Beuth Verlag, September 2009

[2] Fachkommission Bauaufsicht der Bauministerkonferenz: Bauaufsichtliche Richtlinie über die Lüftung fensterloser Küchen, Bäder und Toilettenräume in Wohnungen. Stand April 2009, zuletzt geändert durch Beschluss der Fachkommission Bauaufsicht vom 1. Juli 2010, www.is-argebau.de

[3] Höß, A.: FAQ DIN 18017-3. Bietigheim-Bissingen: Fachverband Gebäude-Klima, www.fgk.de , www.bit.ly/geb1552

[4] Nadler, N.: Ist eine kontinuierliche Lüftung zum Feuchteschutz zielführend? GEB 02-2018, Webcode 803953

[5] Nadler, N.: Kühllastberechnung für Bauteilanlagen. Düsseldorf: Springer-VDI-Verlag, HLH Bd. 59 (2008)

[6] Nadler, N.: Neue Außenlufttemperaturen für die Heizlastberechnung. Gesundheits-Ingenieur (GI) 133 01-2012 Heft 1

[7] DIN 1946-6 (Entwurf) Raumlufttechnik – Teil 6: Lüftung von Wohnungen – Allgemeine Anforderungen, Anforderungen an die Auslegung, Ausführung, Inbetriebnahme und Übergabe sowie Instandhaltung, Berlin: Beuth Verlag, Januar 2018

[8] Verordnung (EU) Nr. 305/2011 des Europäischen Parlaments und des Rates vom 9. März 2011 zur Festlegung harmonisierter Bedingungen für die Vermarktung von Bauprodukten und zur Aufhebung der Richtlinie 89/106/EWG des Rates. Amtsblatt der Europäischen Union vom 04. April 2011, L88/5

[9] DIN 4109-1 Schallschutz im Hochbau – Teil 1: Mindestanforderungen. Berlin: Beuth Verlag, Januar 2018

[10] FprEN 14351-2 (Schluss-Entwurf) Fenster und Türen – Produktnorm, Leistungseigenschaften – Teil 2: Innentüren. Berlin: Beuth Verlag, April 2017

[11] VDI 4100 Schallschutz im Hochbau – Wohnungen – Beurteilung und Vorschläge für erhöhten Schallschutz. Berlin: Beuth Verlag, Oktober 2012

[12] DEGA BR 0104 Memorandum: Schallschutz im eigenen Wohnbereich. Berlin: Deutsche Gesellschaft für Akustik, Fachausschuss Bau- und Raumakustik, Februar 2015, www.dega-akustik.de , www.bit.ly/geb1553

[13] DIN 18101 Türen – Türen für den Wohnungsbau – Türblattgrößen, Bandsitz und Schlosssitz – Gegenseitige Abhängigkeit der Maße. Berlin: Beuth Verlag, August 2014

Bauaufsichtliche Richtlinie

In der bauaufsichtliche Richtlinie über die Lüftung fensterloser Küchen, Bäder und Toilettenräume in Wohnungen steht unter Punkt 2.3, dass DIN 18017-3:2009-09 die lüftungstechnischen Anforderungen nach den Abschnitten 2 bis 2.2 erfüllt, wenn in den Wohnungen keine fensterlosen Küchen und Kochnischen vorhanden sind. Damit soll klargestellt werden, dass die lüftungstechnischen Anforderungen abweichend von dieser Richtlinie auch anders erfüllt werden können. Umgekehrt gilt, dass Abweichungen von DIN 18017-3 möglich sind, solange die Anforderungen erfüllt sind.

Gleichzeitiger Betrieb mehrerer Abluftventilatoren

Bei gleichzeitigem Betrieb mehrerer Abluftventilatoren werden aufgrund der Druckverhältnisse in der Wohnung die planmäßigen Abluftvolumenströme nicht eingehalten. Vergleichbar ist die Situation mit der Parallelschaltung von Ventilatoren. Abb. 1 zeigt exemplarisch, wie sich die Betriebspunkte ändern, wenn zwei Badlüfter im Einsatz sind, die in der Stufe 60 m 3 /h je Bad betrieben werden sollen. Erfolgt die Auslegung der ALD und ÜLD in der NE für 60 m 3 /h (Maximalwertauslegung, Fall 1), beträgt der Gesamtvolumenstrom durch beide Bäder bei gleichzeitigem Betrieb ca. 80 m 3 /h. Bei gleichen Druckverlusten also ca. 40 m 3 /h je Bad. Bei der Summenauslegung (Fall 2) der ALD und ÜLD für 120 m 3 /h steigt der Volumenstrom bei Einzelbetrieb auf ca. 65 m 3 /h aufgrund der geringeren Druckverluste.

Dieser geringe Anstieg ist dadurch begründet, dass die Kennlinie in diesem Bereich sehr steil verläuft. DIN 18017-3 [1, Bild 7] fordert eine steile Kennlinie, um Stördrücken von außen zu begegnen. Durch die Parallelschaltung verändert sich die Steilheit der Gesamtkennlinie etwas. Bei einem Bad mit 10 m 3 Raumvolumen würde sich im Fall 1 die Entlüftung um ca. 5 min verlängern, was durchaus akzeptabel erscheint und den Vorteil geringerer Lüftungswärmeverluste durch Infiltration bei Nichtbetrieb hat.

Dipl.-Ing. Norbert Nadler

Ingenieurbüro CSE Nadler

16515 Oranienburg

n.nadler@cse-nadler.de

www.cse-nadler.de

Tags