Wärmeleitfähigkeit und Wärmedurchgangskoeffizient (Teil 1) Der Wärmedurchgangskoeffizient ist für die Bewertung des baulichen Wärmeschutzes die entscheidende Kenngröße. Daher ist es für die energiesparrechtlichen Nachweise von großer Bedeutung, die entsprechenden Rechenregeln auch umfänglich anzuwenden. Ferner beziehen sich die Bedingungen für Förderzusagen teils unmittelbar auf diese Kenngröße. Im Nachfolgenden sollen daher zunächst der Bemessungswert der Wärmeleitfähigkeit und im Weiteren gegebenenfalls notwendige Korrekturen des Wärmedurchgangskoeffizienten betrachtet werden. Lutz Dorsch
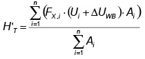
Mit Bezug auf die wärmeübertragende Umfassungsfläche beschreibt der Transmissionswärmetransferkoeffizient H’T bei Wohngebäuden die Qualität des baulichen Wärmeschutzes. Er stellt einen Mittelwert dar, der die unterschiedlichen Wärmedurchgangskoeffizienten flächengewichtet mittelt und gleichzeitig eine bauteilabhängige Temperaturkorrektur vornimmt. Vereinfacht dargestellt gilt:
[W/(m²K)]
mit
U
i
Wärmedurchgangskoeffizient des i-ten Bauteils [W/(m²K)]
A
i
wärmeübertragende Umfassungsfläche des i-ten Bauteils [m²]
U
WB
pauschaler Wärmebrückenzuschlag [W/(m²K)]
F
X,i
Temperaturkorrekturfaktor [-]
Für die Dimensionierung des baulichen Wärmeschutzes ist der Wärmedurchgangskoeffizient
U
also die maßgebliche Größe. Für dessen Berechnung beziehen sich sowohl die Energieeinsparverordnung als auch die damit in Verbindung stehenden Rechenregeln DIN V 18599 und DIN V 4108-6 auf die international geltende DIN EN ISO 6946 [1]. Die eingeführte technische Baubestimmung DIN 4108-2, die den Mindestwärmeschutz sicherstellen soll, verweist ebenfalls auf diese Norm.
Die DIN EN ISO 6946 gilt zunächst für Bauteile aus thermisch homogenen Baustoffschichten (
Abb. 1
), also Schichten mit konstanter Dicke und einheitlich zu bewertenden thermischen Eigenschaften. Für Bauteile mit inhomogenen Schichten, z. B. ein Sparrendach (
Abb. 2
), beinhaltet die Norm ein Näherungsverfahren.
Die No ...
Jetzt weiterlesen und profitieren.
+ GEB E-Paper-Ausgabe – jeden Monat neu + Kostenfreien Zugang zu unserem Archiv + Fokus GEB: Sonderhefte (PDF) + Weiterbildungsdatenbank mit Rabatten + Webinare und Veranstaltungen mit Rabatten uvm.